
Golang实现简单Trie树
更新: 8/10/2025 字数: 0 字 时长: 0 分钟
Trie又称字典树,是N叉树的一种特殊形式。是一种存储大量字符串的树形数据结构,相当于HashMap,在存储单词中又比HashMap节省了很多的内存空间。trie树的根节点不存储内容,内容都在孩子节点上。

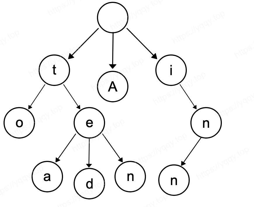
这是一个保存了8个单词的字典树的结构,8个单词分别是"A", "to", "tea", "ted", "ten", "i", "in", "inn"。每条从根节点到叶子节点的路径都构成了单词(有的不需要走到叶子节点也是单词,比如i, in),从根节点出发的路径都是给定单词列表的某个/某些单词的前缀,反之如果在某个字符串中没有出现在这棵树的路径上,就说明组不成单词。
通常Trie树也会用在搜索引擎上,就是输入某些词,就会扩展出一些模糊词汇
Golang 实现的写法如下:
go
type Trie struct {
children [26]*Trie
isWord bool
}
// Insert
func (t *Trie) Insert(word string) {
cur := t
for k, v := range word {
c := v - 'a'
if cur.children[c] == nil {
cur.children[c] = &Trie{}
}
cur = cur.children[c]
// end
if k == len(word) -1 {
cur.isWord = true
}
}
}
// Search
func (t *Trie) Search(word string) bool {
cur := t
for _, v := range word {
c := v - 'a'
if cur.children[c] == nil {
return false
}
cur = cur.children[c]
}
return cur.isWord
}
// StartWith
func (t *Trie) StartWith(prefix string) bool {
cur := t
for _, v := range prefix {
c := v - 'a'
if cur.children[c] == nil {
return false
}
cur = cur.children[c]
}
return true
}
func main() {
trie := new(Trie)
trie.Insert("inn")
fmt.Println(trie.Search("inn")) // true
fmt.Println(trie.Search("in")) // false
fmt.Println(trie.StartWith("in")) // true
fmt.Println(trie.StartWith("ia")) // false
}

评论